直升机飞行原理——和飞机有什么不一样吗?
直升机飞行原理——和飞机有什么不一样吗?
前言:
在前一篇的飞行原理叙述中,我们通过对伯努利定理和牛三定律的引申,分享了固定翼飞机的飞行原理及操纵,今天我们一起简单看下典型直升机的升力产生及空中操纵。
虽然在基础原理上与固定翼相同,但是直升机的气动布局更加复杂,涉及到的空气动力学和流体力学方面的知识点更多一些。

正文:
一、基础理论支撑:
“伯努利定理”和“牛顿第三定律”。
伯努利原理:
“伯努利原理”是瑞士流体物理学家丹尼尔·伯努利在1726年提出的,它是流体力学中的一条基本原理 ,实质是理想流体的机械能守恒。
在理想条件下,同一流管的任何一个截面处,单位体积流体的动能、势能和压力势能之和是一个常量 。
其最为著名的推论为:等高流动时,流速越大,压强越小。流体力学中经常说的压力,其实指的是单位面积上的压力,也就是普通物理学里说的压强。
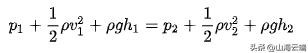
通过公式的形式表述出来的话,就是如下:

或者

注释:p为流体中某点的压强,v为流体在该点的流速,ρ为流体密度,g为重力加速度,h为该点所在高度,C为一个常量。

牛顿第三定律:
牛顿第三运动定律该定律是由艾萨克·牛顿在1687年于《自然哲学的数学原理》一书中提出的。
它的常见表述是:相互作用的两个物体之间的作用力和反作用力总是大小相等,方向相反,作用在同一条直线上。
作用力和反作用力是相互的,互相依赖相为依存,均以对方存在为自己存在的前提,没有反作用力的作用力是不存在的。
公式表述为:F+F'=0
注释:F为作用力,F'为反作用力。

二、流体力学在旋翼上的体现
升力的产生:
旋翼叶片的气动构型与机翼类似,高速旋转带动气流流过叶片表面,产生上下压差,随即产生升力。多片桨叶的升力叠加,在旋翼的桨盘产生合力矢量,当此矢量大于自身重力时,直升机(旋翼机)原地飞升。
动力来源——发动机:
直升机或者旋翼机的发动机,通常使用活塞轴式、涡轮轴式发动机。
举例涡轮轴式发动机,这种发动机出口燃气所含的可用能量几乎全部供给动力涡轮。涡轮轴发动机的动力涡轮直接以高转速输出,通过主减速器将转速降低,并改变轴的方向传给旋翼和尾桨。

三、直升机拉力的产生
分析旋翼向上拉力的产生有很多种方法,比较容易理解的有旋翼叶素理论和动量理论。
叶素理论
对于单个桨叶拉力的产生,比较方便的研究方法就是叶素理论。它是将每片桨叶沿着径向分解成无限多个叶素,所有叶素产生拉力的总和就是整片桨叶的拉力。

上图A中,直升机属于悬停状态,在桨叶上截取一段桨叶Dr,作为叶素进行拉力的研究。
在图B中,我们可以看出,此叶素所产生的升力dY在垂直方向的分量dT则为该叶素Dr产生的拉力。
注:经过前述伯努利方程的讲解,很容易理解此叶素拉力的产生。

通过研究发现,各段桨叶产生的拉力(升力)大小又是不相等的。通常,越靠近桨尖,周向速度越大,迎风气流速度越大,所以产生的升力也就越大。
越靠近桨尖,由于桨叶形状的改变和桨尖涡流效应的影响,升力越来越小,所以通常会出现上图的拉力分布情况。
由上图也可以看出,所有桨叶的拉力之和就是该旋翼的总拉力。
2. 动量定理
我们简单看一张“动量定理”阐释图,对其不做具体分析。

四、直升机气动布局及飞行控制
气动布局:
直升机的气动布局是指直升机气动外形、各部件的外形、参数及相互位置的确定,其目的是使直升机具有所要求的空气动力性能一飞行性能及撰纵性、稳定性。

如图所示,对直升机来说,旋翼既起到了飞机机翼的作用,又起到了螺旋桨的作用。不仅如此,旋翼还起到飞机副翼、升降舵和方向舵的作用。为了实现上述功能,旋翼总的空气动力矢量即拉力,方向可变,大小可变。
旋翼为直升机提供升力和飞行的气动力。旋翼旋转时,桨叶作旋转运动,从而产生空气动力。但是,旋翼的运动与固定翼飞机的机翼不同,旋翼的桨叶除了绕旋翼轴旋转外,还要随直升机一同作直线或曲线运动,因此旋翼桨叶的空气动力要比机翼复杂得多。
注释:关于气动布局,笔者只围绕飞行做轻描淡写,不做过多分析。
飞行控制:
典型直升机操纵系统,就是”两杆一舵“:
A. 周期变距杆
位于驾驶位的中前方,此操纵杆的控制对象为主螺旋桨下方自动倾斜器的不动环。不动环可对主螺旋桨的旋转倾角进行调整,决定机身的飞行方向。

驾驶杆偏离中立位置表示:
向前——直升机低头并向前运动;
向后——直升机抬头并向后退;
向左——直升机向左倾斜并向左侧运动;
向右——直升机向右倾斜并向右侧运动。

B. 总距杆
位于驾驶席的左侧,该手柄的控制对象为主螺旋桨下方自动倾斜器的动环。动环通过对主螺旋桨的桨叶倾角进行调节来对调整动力的大小。
驾驶员左手上提杆时,使自动倾斜器整体上升而增大旋翼桨叶总距(即所有桨叶的桨距同时增大相同角度)使旋翼拉力增大,反之拉力减小,由此来控制直升机的升降运动。通常在总距操纵杆的手柄上设置旋转式油门操纵机构,用来调节发动机油门的大小,以便使发动机输出功率与旋翼桨叶总距变化后的旋翼需用功率相适应。
C. 脚蹬(舵)
在直升机驾驶席的下方通常设有两块踏板,驾驶员可以通过它们对尾螺旋桨的输出功率和桨叶的倾角进行调节,这两项调整能够对机头的水平方向产生影响。

-
- 两年关店200多家,7天酒店从“年轻人的选择”到被年轻人“抛弃”
-
2025-07-02 23:22:20
-
- 黄山天都峰爬山攻略,人少不排队线路分享
-
2025-07-02 23:20:05
-
- 中国通过特殊渠道,进口T80,98式坦克方案,为何全盘重来?
-
2025-07-02 23:17:50
-
- 中国留学生汤远熙弑母抛尸案纪实
-
2025-07-02 23:15:35
-
- 飞机上的秘密:空姐必须穿丝袜,禁止自带饮用水,粪便“空投”了
-
2025-07-02 23:13:21
-
- 文山红色故事丨王建川:为了祖国不惜血染战旗
-
2025-07-02 23:11:05
-
- 全国各警校录取分数线最低汇总(26所完整版,2024参考)
-
2025-07-02 23:08:51
-
- 华纳将拍《斯巴达300勇士》前传剧集 扎克·施奈德商谈回归执
-
2025-07-02 23:06:36
-
- 南京多所高校成“蹭饭族”天堂,食堂应该开放吗?
-
2025-07-02 23:04:21
-
- “听风的蚕”的未来!他还能撑多久?
-
2025-07-02 23:02:06
-
- 扬州亚星,江苏汽车工业史上永远的痛点
-
2025-07-02 22:59:51
-
- 台湾回归倒计时!人民日报发布重要表态“终将统一、必将统一”
-
2025-07-02 22:57:36
-
- 中国台湾省黑帮之四海帮
-
2025-07-02 22:55:21
-
- 退休六年后被查,欠下3000亿元巨款,央企一大佬被带走
-
2025-07-02 22:53:06
-
- 龙江印象|哈尔滨这个区,原来在地图上一片空白,而今高楼林立、商圈繁荣!你
-
2025-07-02 22:50:51
-
- 大快人心!劳荣枝被执行死刑,行刑前向被害家属道歉
-
2025-07-02 22:48:36
-
- 杨受成:从钟表大王到娱乐大亨
-
2025-07-02 22:46:21
-
- 杨幂在节目只吃一根米线?自律是最高级炫耀方式
-
2025-07-02 22:44:06
-
- 手把手教你办理匈牙利申根旅游签证
-
2025-07-02 22:41:51
-
- 19年前吴越陈建斌分手,内幕曝光,陈建斌:在她那里我学到很多
-
2025-07-02 13:15:21



苍月奥特曼:来自宇宙的战士
字节跳动市值多少亿(字节跳动高估值的原因)