证明实数不可列(数学分析)
证明实数不可列(数学分析)
上一期证明了实数是连续的,这是有理数所没有的性质,这一期来证明实数集不可列,也就是不能排成一列,实数集不可列其实与实数系连续性定理是有关联的。可列的无穷集合我们叫做可数集合,不可列的叫做不可数集合。其实对无穷这个概念,人很难直观去感知,如果集合是有限的,我们能够比较它们元素个数的多少,但都是无穷,无穷之间有等级吗?答案是有等级,由于是无限的,无法用具体的数子表示元素个数,所以就定义了“势”或“基数”这个概念。如果两个无穷集合等势,就表明它们元素个数相等,也可以说有相同的基数。涉及到无限,这里就会有一些违背人直觉的结论,例如,整数集元素个数和有理数集元素个数相同,即整数集和有理数集的基数相等,都是可数集,可数集的基数记作a。要证明有理数集可数只要能将全体有理数排成一列就可以了,接下来我们证明实数不可数,这其实意味着实数要比有理数多得多。如果将全体实数比作整个夜空,那么有理数只是夜空中的星星。
前面说了实数集不可列与实数系连续性定理是关联,所以下面用两种方法证明实数集不可列。
现证明[0,1]上的所有实数不可列
方法一:
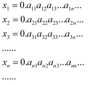
反证法。假若实数集可列,则将(0.1)上的所有实数排成一列:

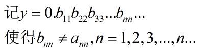
现在找一个(0.1)上不在这一列中的实数,

显然y与列表中任何实数都不相同,可是(0.1)上的所有实数都排在这个列表中,于是矛盾。
方法二:方法二利用了实数系基本定理之中的闭区间套定理。
反证法。假若实数集可列,则将(0.1)上的所有实数排成一列:


有些同学可能会想,实数比有理数多很多,那它们数量之间有没有一个关系。由于有理数集和实数集都是无穷集合,无法用数字来表示数量的多少,但可以将它们的基数做一个比较,在我的短视频中,证明了实数集与可数集的幂集等势,如果a是可数基数,c为实数集基数,则c等于2的a次方。
-
- 让人感动的一组照片,每张都有一个温暖的故事
-
2024-09-17 23:58:40
-
- 茅台保健酒业公司回应“茅台不老酒传销案”纯属旧闻炒作
-
2024-09-17 23:56:25
-
- 一种长得像冬笋的罕见食物:冬粉薯,它是润肺的佳品
-
2024-09-17 23:54:10
-
- 厦门路虎猛撞捷豹 背后原因令人震惊
-
2024-09-17 23:51:56
-
- 揭秘中国最神秘的六大家族,你知道几个?
-
2024-09-17 23:49:41
-
- 奖品丰富惊喜不断,主播油条回归斗鱼首播活动曝光
-
2024-09-17 23:47:26
-
- 祸港“四人帮”之陈方安生:抗日名将之后为何甘当英美“走狗”?
-
2024-09-17 23:45:11
-
- 二战德军第一神炮88毫米高射炮
-
2024-09-17 23:42:56
-
- 江苏第一富二代非蛇哥莫属,老婆生日礼物是布加迪威龙
-
2024-09-17 18:51:52
-
- 罕见顾维钧真实老照片:家中女眷个个漂亮,和印象中的完全不一样
-
2024-09-17 18:49:37
-
- 海贼王中5个可能不会再出现的美女,网友:第一个比女帝还美!
-
2024-09-17 18:47:22
-
- 丰富的历史印痕中 总离不开老厂区的影子 二厂的网红是深厚的底蕴
-
2024-09-17 18:45:08
-
- B站出现lo娘大尺度“裸舞”?官方:上传内容非完整版,不违规
-
2024-09-17 18:42:53
-
- 全身各部位肌肉训练动作图解,男女通用
-
2024-09-17 18:40:38
-
- 核载9人的面包车硬塞28名幼儿,驾驶员被采取刑事强制措施,车内无人员受伤
-
2024-09-17 18:38:23
-
- 39岁国足队长郑智近况:和小7岁妻子很恩爱,儿女双全生活幸福
-
2024-09-17 18:36:08
-
- 原配对小三最狠的报复!5个步骤击破婚外情!
-
2024-09-17 18:33:53
-
- 男篮世界杯三赛区单场票全面开售,百元人民币即可现场观赛
-
2024-09-17 18:31:39
-
- 快手第一眉毛杀美女:绝世的陈逗逗
-
2024-09-17 11:44:24
-
- 成语故事-韩信-国士无双
-
2024-09-17 11:42:09



苍月奥特曼:来自宇宙的战士
字节跳动市值多少亿(字节跳动高估值的原因)